문제 번호 1160. -- [데이터구조 중간고사, 상] 신데렐라 강강술래

1160: [데이터구조 중간고사, 상] 신데렐라 강강술래

시간 제한: 1 Sec  메모리 제한: 128 MB
제출: 124  해결 문제 수: 79
[제출][채점 상황 열람][게시판]

문제 설명

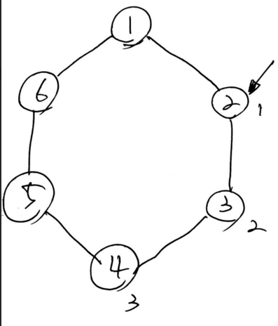
아이들이 손을 잡고 둥글게 원을 만들어 강강술래를 하고 있다. 너무 늦게까지 하다보니 집에 가고 싶은 마음이 들어, 다음과 같은 순서로 집에 가기로 했다. 강강술래를 부르면서 아이 A부터 시작해서, B번째 아이가 집에 가는 것이다.예를 들어, 6명의 아이가 손잡고 원을 그리고 있다고 하자. 

2번 아이부터 시작해서, 3번째 아이부터 집에 가기로 하면, 가장 먼저 4번 아이가 집에 갈 것이다. 그 후에는 5번 아이부터 시작해서 3번째 아이인 1번 아이가 집에 가는 식으로 계속해서 진행될 것이다. 집에 먼저 가는 순서대로 아이 번호를 출력하는 프로그램을 작성하시오. 

입력

6 (N, 아이들 숫자, 1번부터 10번, 1 <= N <= INT_MAX)
2 3 (2번 아이부터 시작해서, 3번째 아이가 집에 간다)

출력

4 1 5 3 6 2 (집에 먼저가는 순서)

입력 예시

6
2 3

출력 예시

4 1 5 3 6 2

도움말

출처

[제출][채점 상황 열람]