Toggle navigation
임베디드시스템공학과 온라인 저지
게시판
문제 모음
채점 상황 열람
순위
대회
Login
문제 번호 1241. -- 알고리즘 연습문제: Dijkstra
1241: 알고리즘 연습문제: Dijkstra
시간 제한:
1 Sec
메모리 제한:
128 MB
제출:
138
해결 문제 수:
86
[
제출
][
채점 상황 열람
][
게시판
]
문제 설명
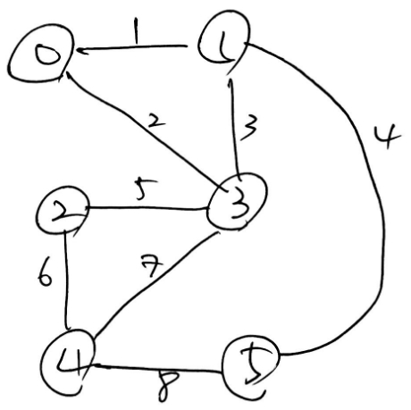
아래와 같이 6개의 node로 구성된 weighted graph가 있다.
출발노드와 도착노드가 주어질 때, 최단거리를 출력하는 프로그램을 작성하시오.
입력
출력
입력 예시
0 5
출력 예시
5
도움말
출처
[
제출
][
채점 상황 열람
]